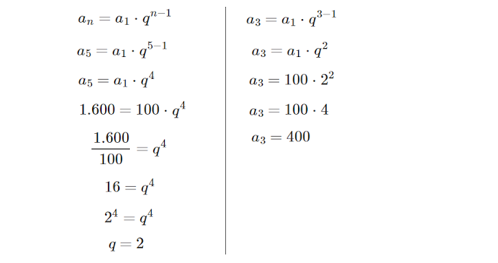
No mês de julho, 100 medicamentos foram produzidos em uma indústria. Em novembro desse mesmo ano, foram produzidos 1.600 medicamentos. Considere que a quantidade de medicamentos produzidos a partir de julho forma uma progressão geométrica crescente. Dessa forma, o número de medicamentos produzidos em setembro é:
➥ Pesquise o ASSUNTO aqui
DATA DO CONCURSO DA ESA: 26 JUL 2026.
"Praticar exercícios é a melhor forma de guardar o conteúdo". Tenha em mente que ficar só com a explicação que o professor dá em sala de aula não é o suficiente para absorver a matéria. Resolva questões diariamente. Temos pouco tempo para a data do concurso que já é em JULHO. Temos aqui os melhores exercícios exclusivos para o concurso da ESA! Não perca tempo. tenha em mãos os melhores exercícios em um só lugar. (DATA DO CONCURSO DA ESA: 26 JUL 2026.)
MELHORES EXERCÍCIOS E SIMULADOS PARA O CONCURSO DA ESA, EM QUANTIDADE E QUALIDADE!
DISCIPLINAS DISPONÍVEIS: matemática, português, literatura, história do Brasil, geografia do Brasil e inglês. Treine agora mesmo para o concurso da ESA com nossos exercícios! Prepare-se com eficiência, pratique com qualidade e conquiste sua vaga. Não deixe para última hora e treine com os MELHORES EXERCÍCIOS E SIMULADOS PARA O CONCURSO DA ESA— quem treina mais, chega mais preparado! JÁ TREINOU QUESTÕES HOJE?
9 de janeiro de 2024
Assinar:
Postar comentários (Atom)
Treine para o concurso da ESA com nossos exercícios! Prepare-se com eficiência, pratique com qualidade e conquiste sua vaga. Não deixe para última hora e treine com os MELHORES EXERCÍCIOS E SIMULADOS PARA O CONCURSO DA ESA — quem treina mais, chega mais preparado! CLIQUE NA IMAGEM E ADQUIRA O SEU MATERIAL AGORA MESMO! JÁ TREINOU QUESTÕES HOJE? ATENÇÃO: 20% DE DESCONTO, CUPOM: VPNE2026
(ESA 2025 - CFGS 2026 – 27) - QUESTÃO
As atividades de caminhada e escalada no Parque Nacional do Itatiaia (PNI), são eventos turísticos tradicionais naquele maciço. Nos últimos ...
Treine para o concurso da ESA com nossos exercícios! Prepare-se com eficiência, pratique com qualidade e conquiste sua vaga. Não deixe para última hora e treine com os MELHORES EXERCÍCIOS E SIMULADOS PARA O CONCURSO DA ESA — quem treina mais, chega mais preparado! CLIQUE NA IMAGEM E ADQUIRA O SEU MATERIAL AGORA MESMO! JÁ TREINOU QUESTÕES HOJE? ATENÇÃO: 20% DE DESCONTO, CUPOM: VPNE2026
A seguir algumas questões sugeridas para praticar
-
01. (ESA) O vocábulo cujo número de letras é igual ao número de fonemas está em: a) sucedida b) habitando c) grandes d) espinhos e)...
-
O Brasil, devido a sua dimensão geográfica e a suas condições climáticas, possui diversas bacias hidrográficas. Sobre as características des...
-
SOLDADO NASCIMENTO: RELEMBRE A PASSAGEM DE PELÉ PELO EXÉRCITO BRASILEIRO O Soldado Nascimento (Nr 201) incorporou às fileiras do Exército Br...
-
Durante o avanço das Forças Brasileiras na Guerra Tríplice Aliança, as tropas se depararam com uma posição defensiva estrategicamente constr...
-
O Centro de Embarcações do Comando Militar da Amazônia (CECMA) é a Organização Militar responsável pelo transporte fluvial tático e logísti...

porque o q virou 2
ResponderExcluir